• Предмет: Алгебра
  • Автор: ВаряНифёдова2016
  • Вопрос задан 9 лет назад

Было бы чудно, если бы вы мне этот пример решили

Номер 7

Приложения:

Ответы

Ответ дал: Inna0512
0
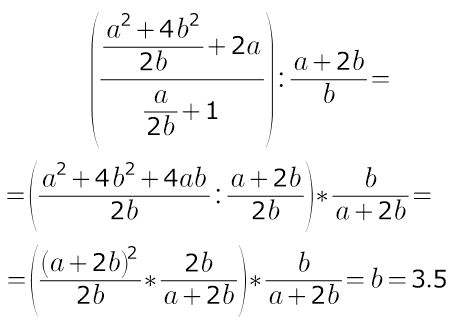
7. найти значение выражения
Приложения:
Ответ дал: ВаряНифёдова2016
0
От души
Ответ дал: LFP
0
дроби нужно привести к общему знаменателю)))
Приложения:
Вас заинтересует