• Предмет: Алгебра
  • Автор: лисенок619
  • Вопрос задан 9 лет назад

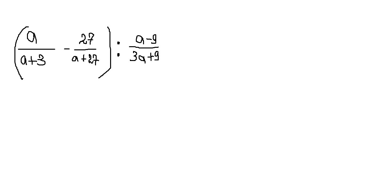
помогите пожалуйста

Приложения:

Ответы

Ответ дал: Papiros11
0
3a+27/a+27 от такой ответ выдало приложение photomath
Вас заинтересует