Кому не трудно, помогите пожалуйста решить области определения функций, отзовитесь ребята!
P.S. можете решение подробно записать и картинкой отправить. Заранее спасибо^^
P.S.S. Вторая картинка это пример как решать
Приложения:


Ответы
Ответ дал:
0
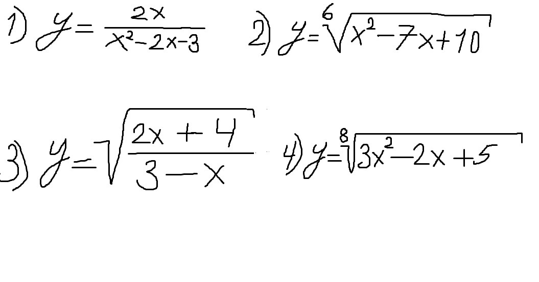
1. ОДЗ: x²-2x-3≠0
D=4-4*1*(-3)=16
x(1)=-1 =>x<-1
x(2)=3 => x>3
D(f)=x∈(-∞,-1)∪(3,+∞) - Первый график
2. ОДЗ: x²-7x+10>0
D=49-4*1*10=9
x(1)=2 =>x<2
x(2)=5 => x>5
D(f)=x∈(-∞,2)∪(5,=∞)
3. ОДЗ: (2x+4)/(3-x)>0
x≠3
x<3
d(f)= x∈(-∞,3)
4. ОДЗ: 3x²-2x+5>0
D+4-4*3*5=-56
Нет вещественных корней
D(f)=x∈R
Графики во вложении
D=4-4*1*(-3)=16
x(1)=-1 =>x<-1
x(2)=3 => x>3
D(f)=x∈(-∞,-1)∪(3,+∞) - Первый график
2. ОДЗ: x²-7x+10>0
D=49-4*1*10=9
x(1)=2 =>x<2
x(2)=5 => x>5
D(f)=x∈(-∞,2)∪(5,=∞)
3. ОДЗ: (2x+4)/(3-x)>0
x≠3
x<3
d(f)= x∈(-∞,3)
4. ОДЗ: 3x²-2x+5>0
D+4-4*3*5=-56
Нет вещественных корней
D(f)=x∈R
Графики во вложении
Приложения:




Вас заинтересует
2 года назад
2 года назад
7 лет назад
9 лет назад