Cоставить схему алгоритма и написать программу вычисления таблицы значений функции f(x) на промежутке x [xн; xк] с шагом h.
Приложения:

Ответы
Ответ дал:
0
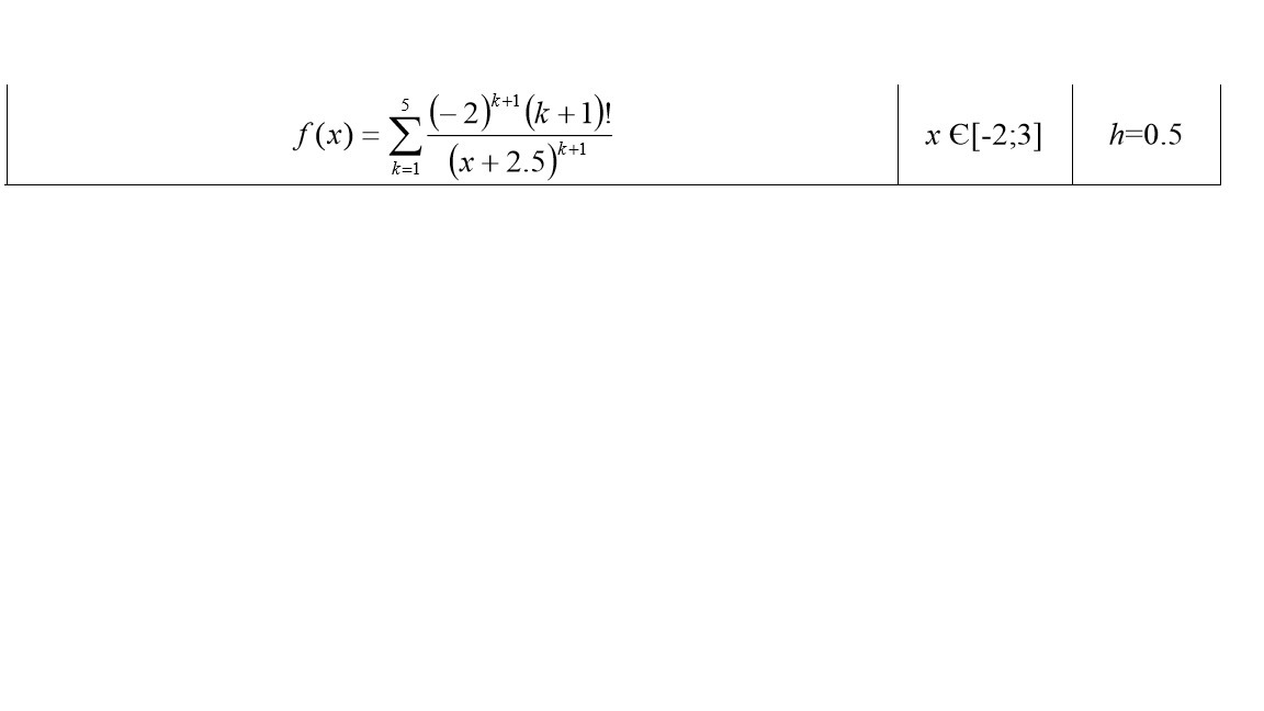
Преобразуем формулу в рекуррентную.
![displaystyle f(x)=sum_{k=1}^5 frac{(-2)^{k+1}(k+1)!}{(x+2.5)^{k+1}}=sum_{k=1}^5 frac{(-1)^{k+1}cdot2^{k+1}(k+1)!}{(x+2.5)^{k+1}} = \ \ sum_{k=1}^5 left[ (-1)^{k+1} left( frac{2}{x+2.5}right)^{k+1}(k+1)!right] = sum_{k=1}^5a_k \ \ a_1=(-1)^2left( frac{2}{x+2.5}right) ^2cdot 2!= left( frac{2}{x+2.5}right) ^2cdot 2 \ \
a_2=(-1)^3left( frac{2}{x+2.5}right) ^3cdot 3!= -left( frac{2}{x+2.5}right) ^2cdot 3!= \ \ -a_1 frac{2}{x+2.5} cdot 3 displaystyle f(x)=sum_{k=1}^5 frac{(-2)^{k+1}(k+1)!}{(x+2.5)^{k+1}}=sum_{k=1}^5 frac{(-1)^{k+1}cdot2^{k+1}(k+1)!}{(x+2.5)^{k+1}} = \ \ sum_{k=1}^5 left[ (-1)^{k+1} left( frac{2}{x+2.5}right)^{k+1}(k+1)!right] = sum_{k=1}^5a_k \ \ a_1=(-1)^2left( frac{2}{x+2.5}right) ^2cdot 2!= left( frac{2}{x+2.5}right) ^2cdot 2 \ \
a_2=(-1)^3left( frac{2}{x+2.5}right) ^3cdot 3!= -left( frac{2}{x+2.5}right) ^2cdot 3!= \ \ -a_1 frac{2}{x+2.5} cdot 3](https://tex.z-dn.net/?f=displaystyle+f%28x%29%3Dsum_%7Bk%3D1%7D%5E5+frac%7B%28-2%29%5E%7Bk%2B1%7D%28k%2B1%29%21%7D%7B%28x%2B2.5%29%5E%7Bk%2B1%7D%7D%3Dsum_%7Bk%3D1%7D%5E5+frac%7B%28-1%29%5E%7Bk%2B1%7Dcdot2%5E%7Bk%2B1%7D%28k%2B1%29%21%7D%7B%28x%2B2.5%29%5E%7Bk%2B1%7D%7D+%3D+%5C++%5C+sum_%7Bk%3D1%7D%5E5+left%5B+%28-1%29%5E%7Bk%2B1%7D+left%28+frac%7B2%7D%7Bx%2B2.5%7Dright%29%5E%7Bk%2B1%7D%28k%2B1%29%21right%5D+%3D+sum_%7Bk%3D1%7D%5E5a_k+%5C++%5C+a_1%3D%28-1%29%5E2left%28+frac%7B2%7D%7Bx%2B2.5%7Dright%29+%5E2cdot+2%21%3D+left%28+frac%7B2%7D%7Bx%2B2.5%7Dright%29+%5E2cdot+2+%5C++%5C+%0Aa_2%3D%28-1%29%5E3left%28+frac%7B2%7D%7Bx%2B2.5%7Dright%29+%5E3cdot+3%21%3D+-left%28+frac%7B2%7D%7Bx%2B2.5%7Dright%29+%5E2cdot+3%21%3D+%5C++%5C+-a_1+frac%7B2%7D%7Bx%2B2.5%7D+cdot+3)

var
i,k:integer;
x,s,a:real;
begin
x:=-2;
while x<=3 do begin
a:=sqr(2/(x+2.5))*2;
s:=a;
for k:=2 to 5 do begin
a:=-a*(2/(x+2.5))*(k+1);
s:=s+a
end;
Writeln('x=',x:4:1,', f(x)=',s);
x:=x+0.5
end
end.
Результаты
x=-2.0, f(x)=2832032
x=-1.5, f(x)=42584
x=-1.0, f(x)=3604.93827160494
x=-0.5, f(x)=620
x= 0.0, f(x)=157.46048
x= 0.5, f(x)=51.2592592592593
x= 1.0, f(x)=19.8483285025797
x= 1.5, f(x)=8.75
x= 2.0, f(x)=4.27306135582313
x= 2.5, f(x)=2.27072
x= 3.0, f(x)=1.29731462817256
var
i,k:integer;
x,s,a:real;
begin
x:=-2;
while x<=3 do begin
a:=sqr(2/(x+2.5))*2;
s:=a;
for k:=2 to 5 do begin
a:=-a*(2/(x+2.5))*(k+1);
s:=s+a
end;
Writeln('x=',x:4:1,', f(x)=',s);
x:=x+0.5
end
end.
Результаты
x=-2.0, f(x)=2832032
x=-1.5, f(x)=42584
x=-1.0, f(x)=3604.93827160494
x=-0.5, f(x)=620
x= 0.0, f(x)=157.46048
x= 0.5, f(x)=51.2592592592593
x= 1.0, f(x)=19.8483285025797
x= 1.5, f(x)=8.75
x= 2.0, f(x)=4.27306135582313
x= 2.5, f(x)=2.27072
x= 3.0, f(x)=1.29731462817256
Вас заинтересует
7 лет назад
9 лет назад
10 лет назад