• Предмет: Алгебра
  • Автор: Maks048
  • Вопрос задан 9 лет назад

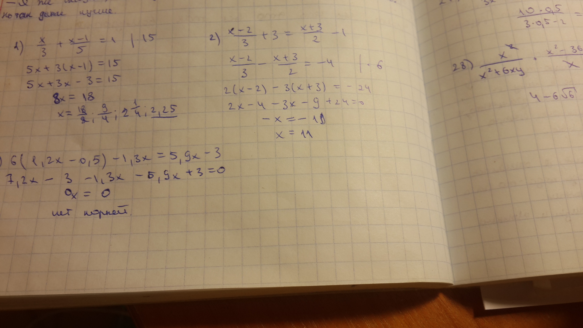
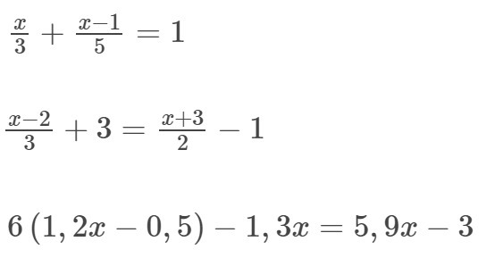
Помогите решить уравнения

Приложения:

Ответы

Ответ дал: Miroslava227
0
вооот))))))))))))))))))))
Приложения:
Вас заинтересует