Ответы
Ответ дал:
0
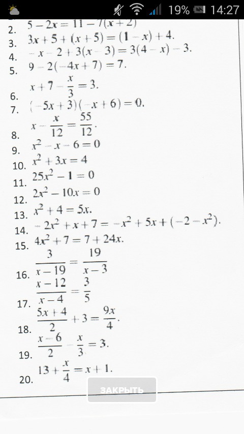
Х+7-Х3=3
3Х+21-Х=9
2Х=-21+9
2Х=-12
Х=-6
ПРОВЕРКА
-6+7-(-63)=3
-1+2=3
3=3
(-5х+3)(-х+6)=0
-5х+3=0 -х+6=0
-5х=-3 -х=-6
х=35 х=6
проверка
(-5*35+3)(-35+6)=0
(-3+3)(5 23)=0
0=0
(-5*6+3)(-6+6)=0
-27*0=0
0=0
х-х12=5512
12х-х=55
11х=55
х=5
проверка
5-512=5512
4 712=4 712
3Х+21-Х=9
2Х=-21+9
2Х=-12
Х=-6
ПРОВЕРКА
-6+7-(-63)=3
-1+2=3
3=3
(-5х+3)(-х+6)=0
-5х+3=0 -х+6=0
-5х=-3 -х=-6
х=35 х=6
проверка
(-5*35+3)(-35+6)=0
(-3+3)(5 23)=0
0=0
(-5*6+3)(-6+6)=0
-27*0=0
0=0
х-х12=5512
12х-х=55
11х=55
х=5
проверка
5-512=5512
4 712=4 712
Вас заинтересует
3 года назад
3 года назад
7 лет назад
10 лет назад
10 лет назад
10 лет назад