• Предмет: Алгебра
  • Автор: reborn500100
  • Вопрос задан 9 лет назад

Помогите решить неравенство с логарифмами!!

Приложения:

Ответы

Ответ дал: selenadior
0
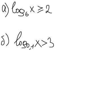
а) x принадлежит от 36 - квадратные скобочки, а там где бесконечность круглые.
 lod_{6}(x) geq 2 \   log_{6}(x) geq 2, x textgreater  0 \ x geq 6^{2} \ x geq 36, x textgreater  0 \ x∈(36,+∞)
Ответ дал: reborn500100
0
Спасибущеее
Вас заинтересует
2 года назад