• Предмет: Алгебра
  • Автор: qwertyklim
  • Вопрос задан 9 лет назад

решите пожалуйста 9 номер,срочно
заранее спасибо

Приложения:

Ответы

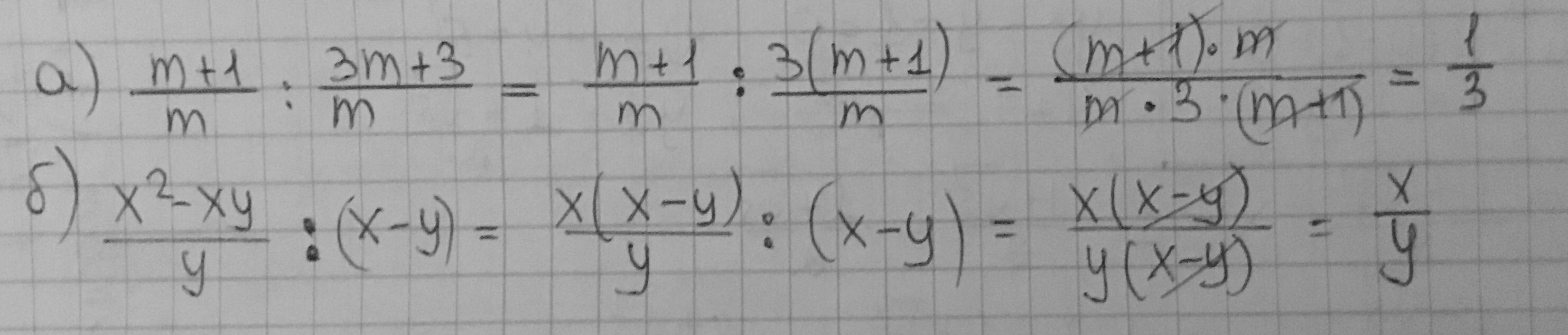
Ответ дал: Arch1tect
0
____________________
Приложения:
Вас заинтересует