• Предмет: Алгебра
  • Автор: Аноним
  • Вопрос задан 11 лет назад

решите уравнение,щедро награжу x+21: x²-9=x : (x+3)

Ответы

Ответ дал: Аноним
0

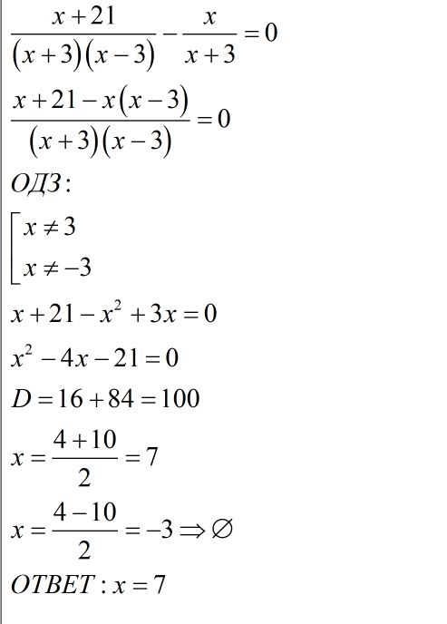
см. вложение

=================================

Приложения:
Ответ дал: Ivanna2013
0

frac{x+21}{x^2-9}=frac{x}{x+3}\ frac{x+21}{(x-3)(x+3)}-frac{x}{x+3}=0\ frac{x+21-x^2+3x}{x^2-9}=0\ frac{-x^2+4x+21}{x^2-9}=0\ frac{(x+3)(x-7)}{x^2-9}=0\

x= -3 посторонний корень

х= 7

Ответ 7

Приложения:
Вас заинтересует