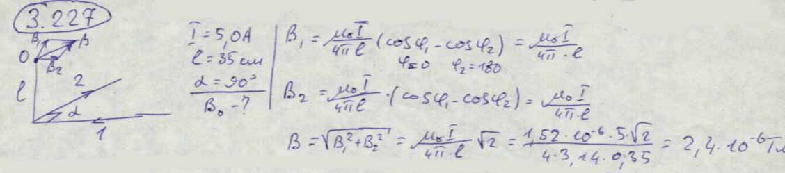
Очень длинный проводник с током 5 А изогнут в форме прямого угла. Найти индукцию магнитного поля в точке, лежащей на биссектрисе угла и отстоящей от его вершины на расстоянии 10 см.
Ответы
Ответ дал:
0
держи на здоровье ;)на картинке все написанно!
Приложения:

Вас заинтересует
2 года назад
2 года назад
8 лет назад
8 лет назад
10 лет назад
10 лет назад
10 лет назад
10 лет назад