• Предмет: Алгебра
  • Автор: Maksik555
  • Вопрос задан 11 лет назад

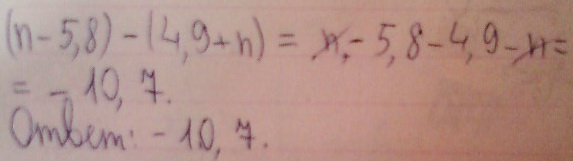
(n-5.8)-(4.9+n)  упростить выражение!!!

Ответы

Ответ дал: mishka19
0

(n - 5,8)- (4,9 + n) = n - 5,8 - 4,9 - n = -(5,8 + 4,9) = -10,7

Ответ дал: Маруся1313
0

откройте вложение, там написано решение задания.

Приложения:
Вас заинтересует