Ответы
Ответ дал:
0
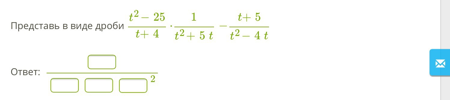
1)(t-5)(t+5)/(t+4) * 1/t(t+5)=(t-5)/t(t+4)
2)(t-5)/(t(t+4) - (t+5)/t(t-4)=(t²-5t-4t+20-t²-5t-4t-20)/t(t²-16)=
=-18t/t(t²-16)=18/(16-t²)
2)(t-5)/(t(t+4) - (t+5)/t(t-4)=(t²-5t-4t+20-t²-5t-4t-20)/t(t²-16)=
=-18t/t(t²-16)=18/(16-t²)
Вас заинтересует
3 года назад
3 года назад
7 лет назад
10 лет назад