• Предмет: Математика
  • Автор: lenafilippova2
  • Вопрос задан 9 лет назад

Помогите пожалуйста с математикой
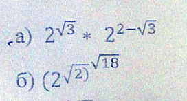
Задание: Выполните действия

Приложения:

Ответы

Ответ дал: zarembo73
0
а) 2^√3*2^(2-√3)=2^(√3+2-√3)=2^2=4;

б) (2^√2)^√18=2^√36=2^6=64.
Вас заинтересует