• Предмет: Алгебра
  • Автор: vikastabrova
  • Вопрос задан 9 лет назад

Решите пожалуйста эти 2 уравнения

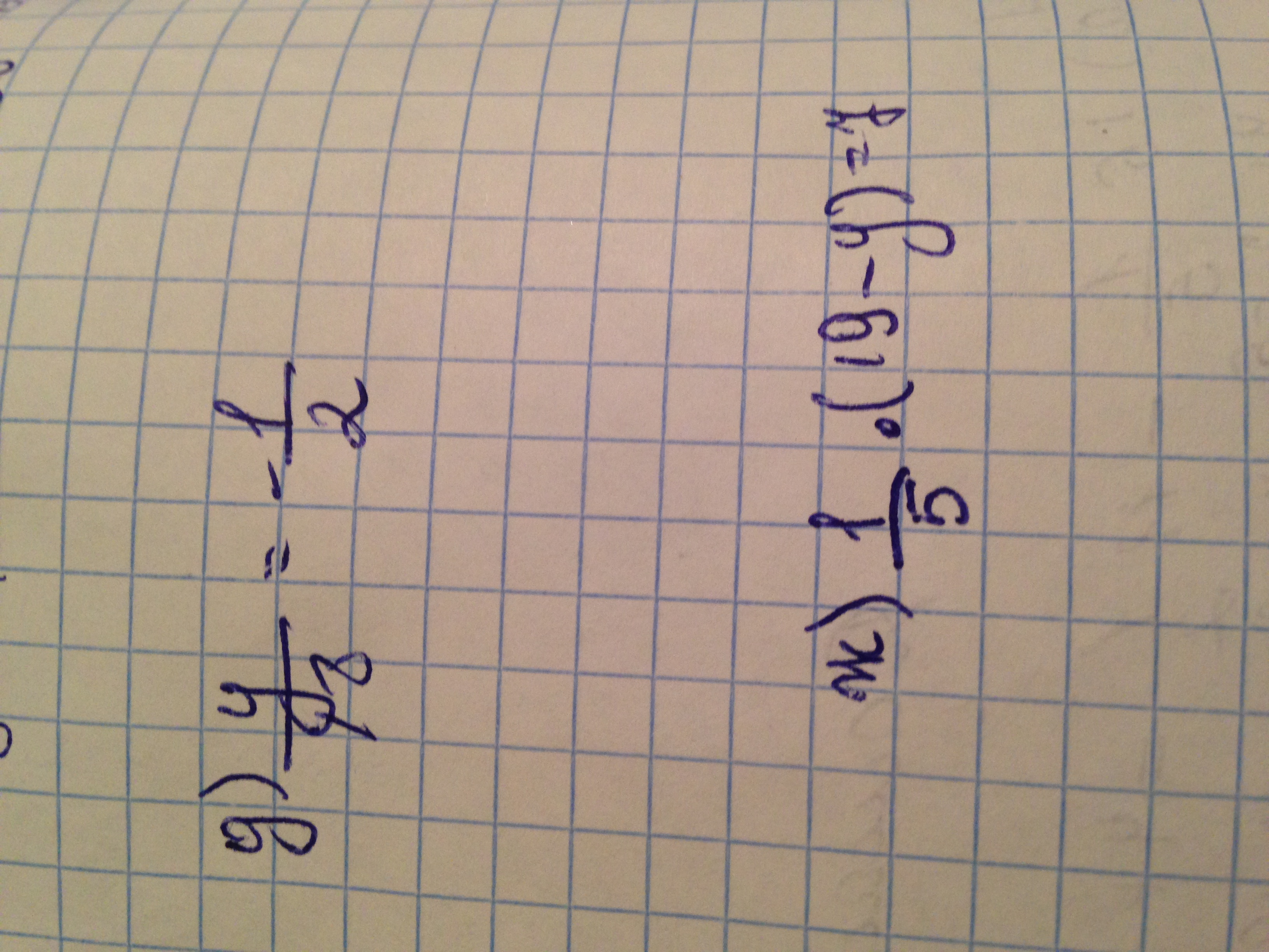
Приложения:

Ответы

Ответ дал: Myрмяу
0
y/18=1/2
y=9
1/5*(19-y)=7
y=-16
Ответ дал: chamomile03
0
1) frac{y}{18}=- frac{1}{2}   \ y=(- frac{1}{2})*18  \ y=-9 \  \ 2)frac{1}{5} (19-y)=7 \ 19-y=7* frac{5}{1}  \ 19-y=35 \ y=19-35 \ y=-16
Вас заинтересует