Ответы
Ответ дал:
0
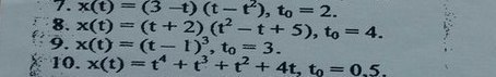
Итак, закон движения материальной точки задан уравнением
,
,
.
Вначале найдём законы изменения скорости и ускорения:


1. Средняя скорость по перемещению:
(м/с).
2. Скорость и ускорение в момент времени
:
(м/с).
(м/с^2).
3. Моменты остановки:
По определению, момент остановки - это такой момент времени
, когда
.
Уравнение
имеет вид
и при
имеет решение
. Это и есть момент остановки. Функция
при
и
при
, поэтому после момента остановки точка продолжит движение в том же направлении.
4. Наибольшая скорость движения:
Функция
убывает при
и возрастает при
, поэтому наибольшее значение она достигает на одном из концов отрезка
. Имеем:
(м/c)
(м/с)
Таким образом,
(м/с).
Вначале найдём законы изменения скорости и ускорения:
1. Средняя скорость по перемещению:
2. Скорость и ускорение в момент времени
3. Моменты остановки:
По определению, момент остановки - это такой момент времени
Уравнение
4. Наибольшая скорость движения:
Функция
Таким образом,
Ответ дал:
0
А-а-а-а-а
Ответ дал:
0
Под цифрой 9 ещё проще. 5 минут...
Ответ дал:
0
хорошо, жду
Ответ дал:
0
Поправил. Держите.
Ответ дал:
0
спасибо
Ответ дал:
0
Вас заинтересует
2 года назад
2 года назад
7 лет назад
7 лет назад
10 лет назад
10 лет назад
10 лет назад