• Предмет: Математика
  • Автор: marinaromanova13
  • Вопрос задан 9 лет назад

завтра самостоятельная,помогите разобратьсяяя

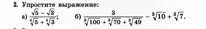
Приложения:

Ответы

Ответ дал: NNNLLL54
0
1)quad frac{sqrt5-sqrt3}{sqrt[4]5+sqrt[4]3} = frac{(sqrt[4]5-sqrt[4]3)(sqrt[4]5+sqrt[4]3)}{sqrt[4]5+sqrt[4]3} =sqrt[4]5-sqrt[4]3\\2)quad  frac{3}{sqrt[3]{100}+sqrt[3]{70}+sqrt[3]{49}} -sqrt[3]{10}+sqrt[3]7=\\= frac{3}{sqrt[3]{10^2}+sqrt[3]{10cdot 7}+sqrt[3]{7^2}} -sqrt[3]{10}+sqrt[3]7=

=frac{3(sqrt[3]{10}-sqrt[3]7)}{(sqrt[3]{10}-sqrt[3]7)((sqrt[3]{10})^2+sqrt[3]{10}cdot sqrt[3]7+(sqrt[3]{7})^2)}-sqrt[3]{10}+sqrt[3]7=\\= frac{3(sqrt[3]{10}-sqrt[3]7)}{10-7}-sqrt[3]{10}+sqrt[3]7=\\=sqrt[3]{10}-sqrt[3]7-sqrt[3]{10}+sqrt[3]7=0
Вас заинтересует