Ответы
Ответ дал:
0
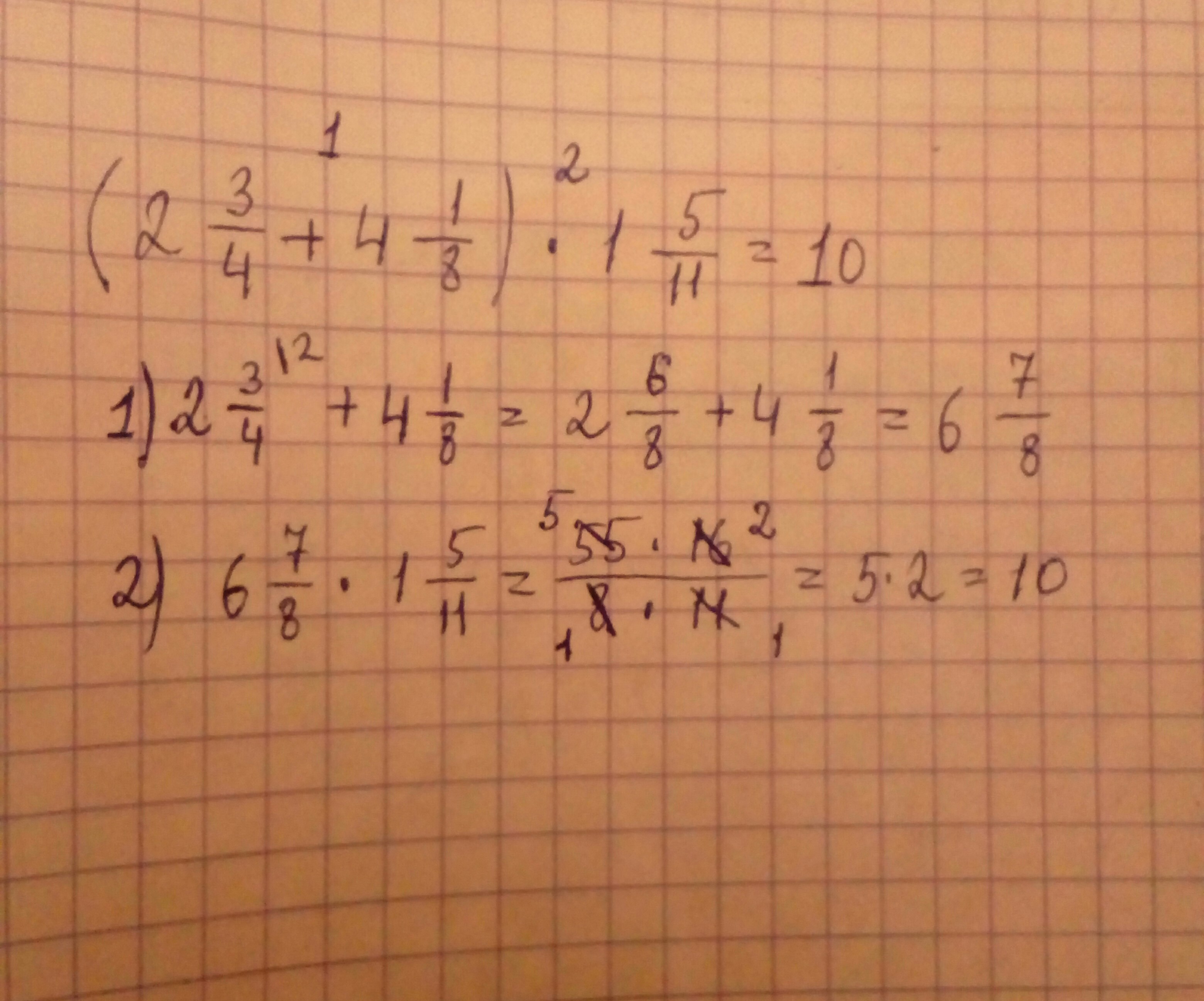
Ну вот, как-то так. Решение на фотографии:
Приложения:

Ответ дал:
0
спасибо
Ответ дал:
0
а как перевести?
Ответ дал:
0
6 7/8 - смешанная дробь, её нужно (чтобы умножить на другую дробь) перевести в неправильную. Для этого целую часть надо умножить на знаменатель и прибавить числитель. (6*8+7 - это будет в числителе, знаменатель так и останется 8) получится 55/8
Ответ дал:
0
Так же получается дробь 16/11
Ответ дал:
0
спасибо
Вас заинтересует
2 года назад
2 года назад
7 лет назад
7 лет назад
9 лет назад
10 лет назад