• Предмет: Математика
  • Автор: innavel1
  • Вопрос задан 9 лет назад

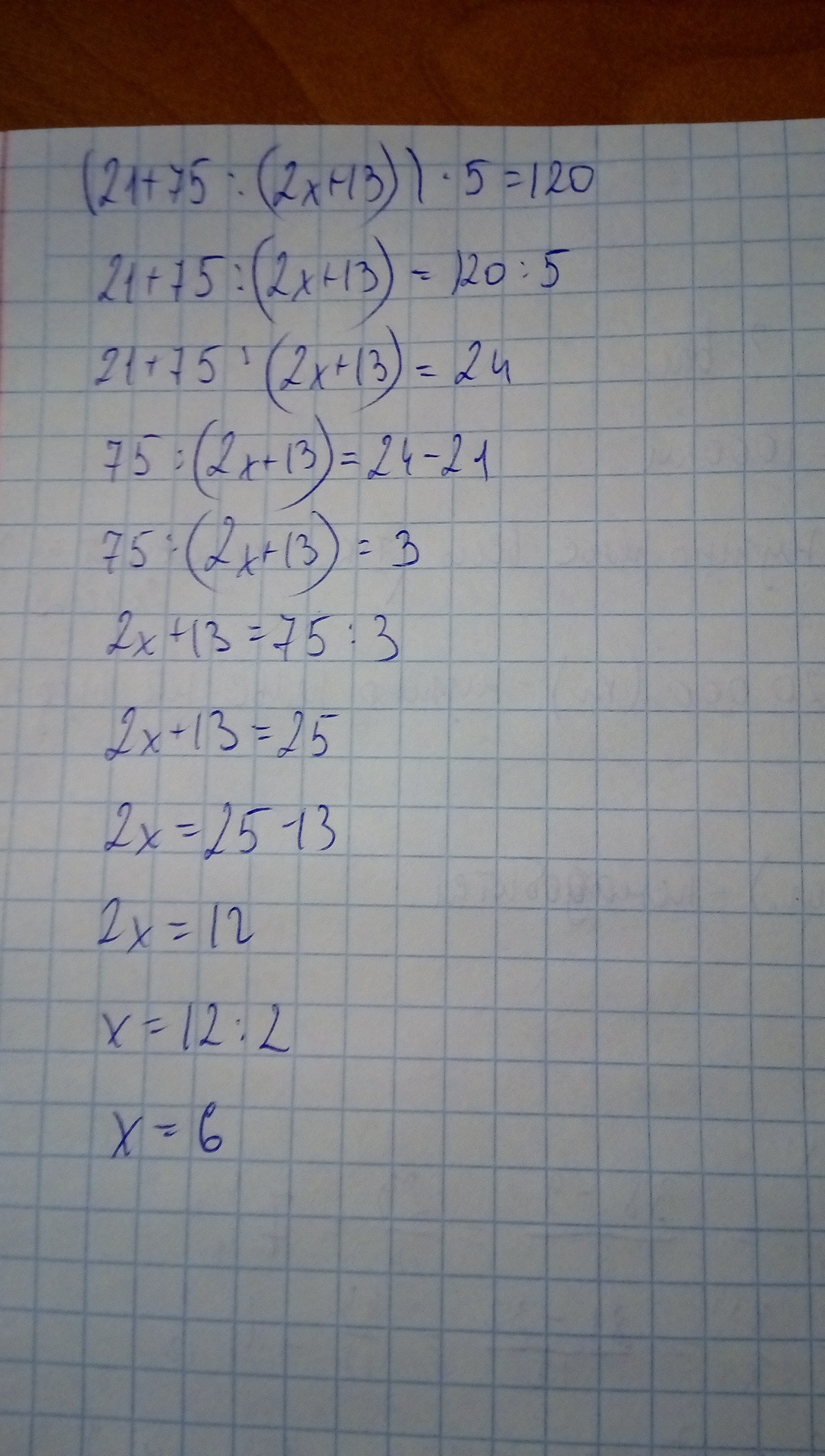
как решить уравнение : (21+75:(2x+13))*5=120

Ответы

Ответ дал: Alinkafed1999
0
Ответ во вложении....
Приложения:
Вас заинтересует