Ответы
Ответ дал:
0
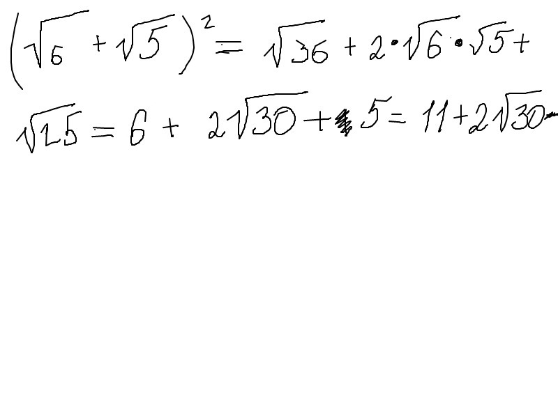
Ответ смотри на картинке:
Приложения:

Ответ дал:
0
последний ответ мне внести в окошки?
Ответ дал:
0
Да
Ответ дал:
0
11+ 2 корня из 30
Ответ дал:
0
спасибо
Вас заинтересует
2 года назад
7 лет назад
9 лет назад
10 лет назад