15 баллов решите пожалуйста )
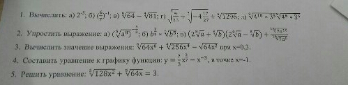
1. шесть корней из 64 минус четыре корня из 81=...
2.восемь корней из 4^10 * 3^5 умножить на восемь корней из 4^6 * 3^3=...
Приложения:

Ответы
Ответ дал:
0
1.
;
2.
2.
Ответ дал:
0
большое спасибо, могу я подписаться на вас , чтобы переодически расчитывать на вашу помощь?
Ответ дал:
0
без проблем
Вас заинтересует
2 года назад
2 года назад
7 лет назад
7 лет назад
9 лет назад