• Предмет: Математика
  • Автор: marial2012
  • Вопрос задан 9 лет назад

Помогите решить показательные уравнения, пожалуйста. Заранее огромное спасибо!

Приложения:

Ответы

Ответ дал: bretkocё
0
4*2^{2x}-(3*2)^x-18*3^{2x}=0 (:3^{2x})

4* frac{2}{3}^{2x}- frac{2}{3}^x-18=0

4t^2-x-18=0

D=17^2

t_1=9/4

t_2=-2

 frac{2}{3}^x= frac{9}{4}= frac{4}{9}^{-1}= frac{2}{3}^{-2}

x=-2

 frac{2}{3}^x neq -2

ответ х=-2

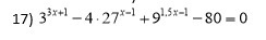
3*3^{3x}-4 frac{(3*9)^x}{27}+ frac{3^{3x}}{9}-80=0

3*3^{3x}- frac{4}{27}*3^{3x}+ frac{1}{9}*3^{3x}-80=0

3^{3x}*( frac{80}{27})=80

3^{3x}=27

3^{3x}=3^3

3x=3

x=1

ответ х=1
Ответ дал: marial2012
0
Что значит "tex" и "frac"?
Ответ дал: bretkocё
0
обновите страницу
Ответ дал: marial2012
0
да, уже все в порядке, спасибо :D
Вас заинтересует