Ответы
Ответ дал:
0
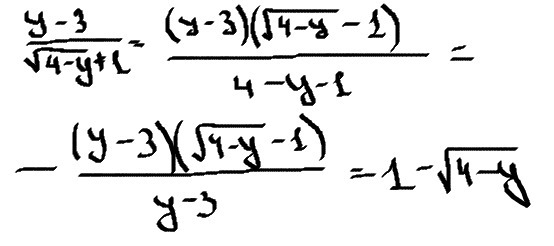
решить не знаю как, но упростить могу
Приложения:

Ответ дал:
0
огромное спасибо)
Ответ дал:
0
Область допустимых значений? Тогда так
4-у⊃0 (⊃ больше), так как знаменатель и так не равен нулю, он больше 1 в любом случае.
у⊂4
Ответ:у∈( -∞; 4)
4-у⊃0 (⊃ больше), так как знаменатель и так не равен нулю, он больше 1 в любом случае.
у⊂4
Ответ:у∈( -∞; 4)
Приложения:

Ответ дал:
0
То что выше вам "сократили", это если в задании указано избавиться от иррациональности в знаменателе. Задание какое, что написано перед номерами?
Вас заинтересует
2 года назад
2 года назад
7 лет назад
9 лет назад
10 лет назад
10 лет назад