Ответы
Ответ дал:
0
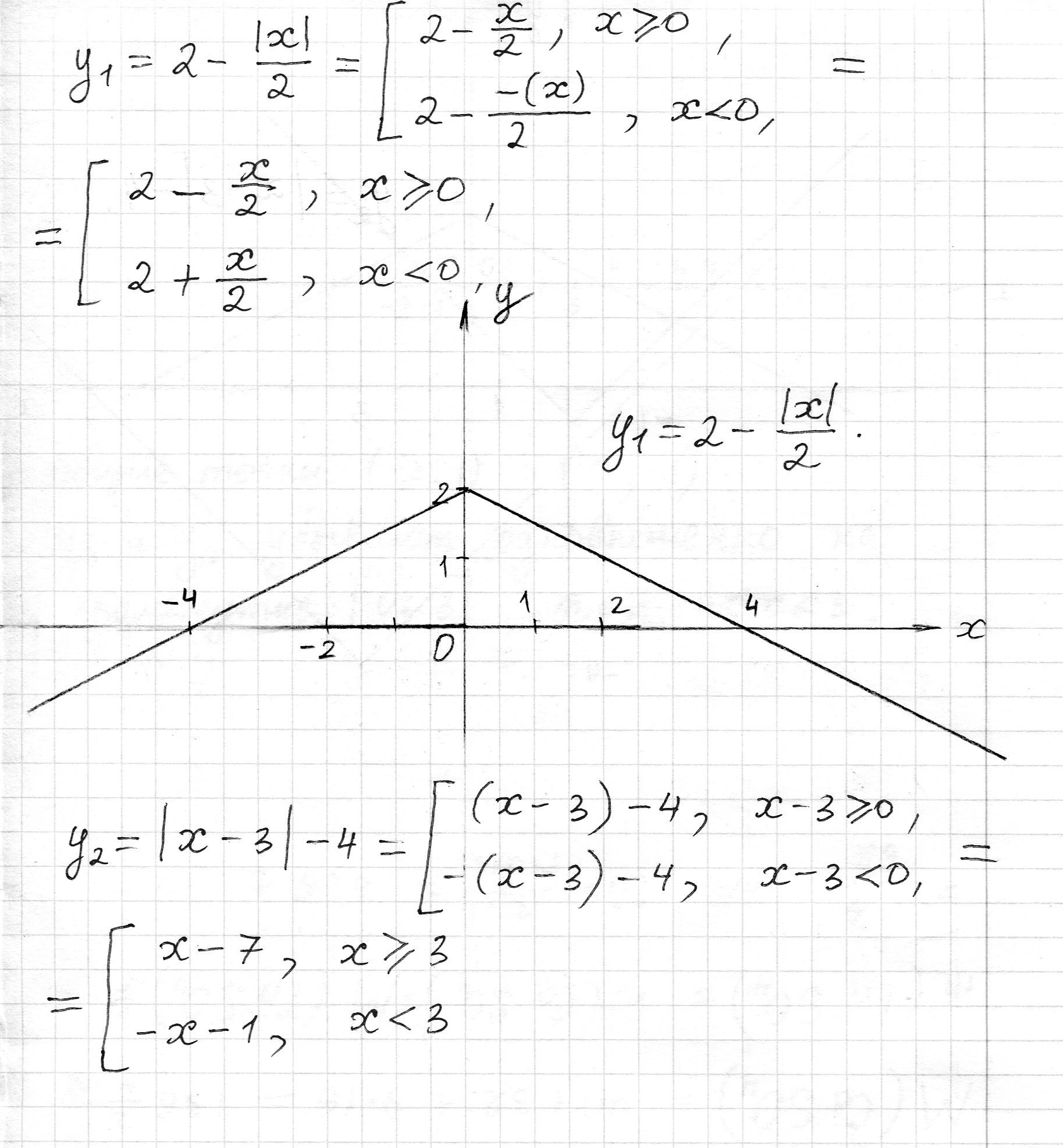
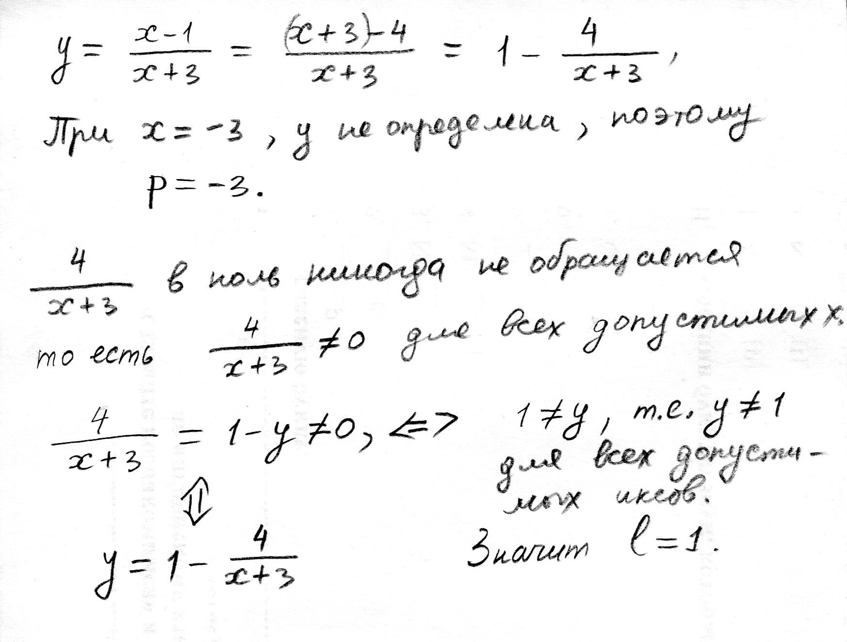
Решения на листочках, прикрепил ниже ==>>
Приложения:



Ответ дал:
0
Спасибо большое!)
Вас заинтересует
2 года назад
2 года назад
7 лет назад
7 лет назад
9 лет назад
9 лет назад
10 лет назад