• Предмет: Алгебра
  • Автор: Lia55555
  • Вопрос задан 9 лет назад

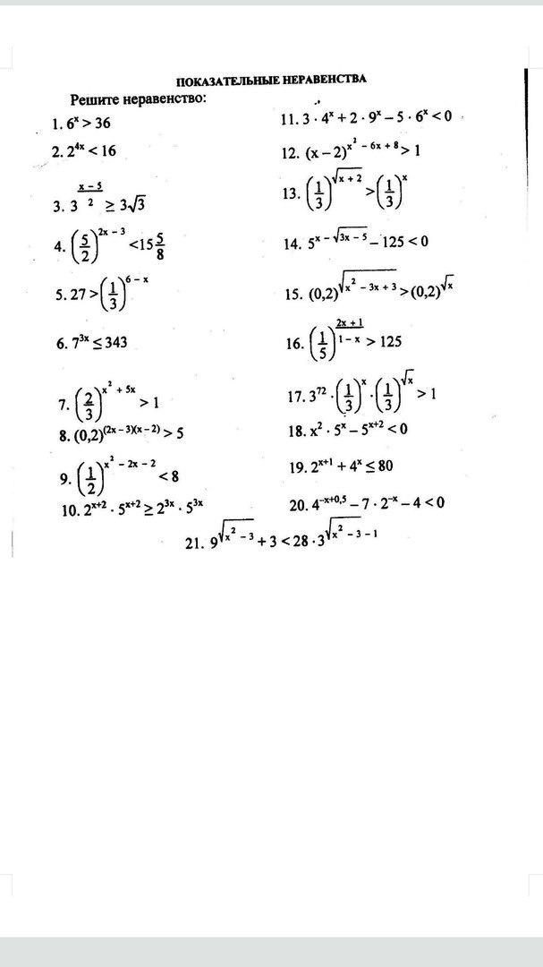
номер 10, заранее спасибо

Приложения:

Ответы

Ответ дал: Nursrun
0
2^1+2 ×5 ^3+2 = 2^3×1 × 5^3×1
2^2+2 x 5^4+2 > 2^3×1 × 5^3×1 все!
Вас заинтересует