Ответы
Ответ дал:
0
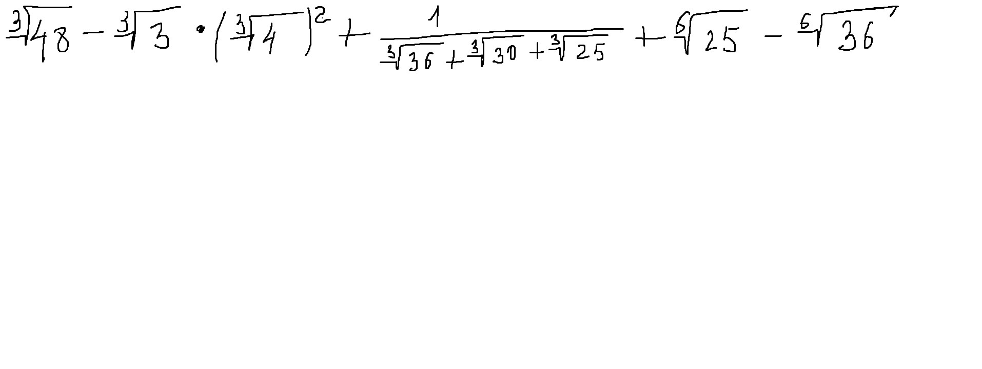
альтернативный ответ 13.2077
Приложения:

Ответ дал:
0
незашто
Ответ дал:
0
решение этого задания на фото
Приложения:

Вас заинтересует
2 года назад
7 лет назад
7 лет назад
10 лет назад