Ответы
Ответ дал:
0
1
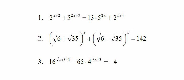
3125*25^x-13*5^2x=16*2^x-4*2^x
25^x*(3125-13)=2^x(16-4)
3112*25^x=12*2^x
(25/2)^x=12/3112
(25/2)^x=3/778
x=log(12,5)(3/778)
2


a+1/a-142=0
a²-142a+1=0
D=20164-4=20160
√D=24√35
a1=(142-24√35)/2=71-12√35=(6-√35)²
(√(6+√35)^x=(6-√35)²⇒x/2=-2⇒x=-4
a2=(6+√35)²
(√(6+√35)^x=(6+√35)²⇒x/2=2⇒x=4
3
4^(√(x+3)=a
16a²-65a+4=0
D=4225-256=3669
a1=(65-63)/32=1/16⇒4^(√(x+3))=4^-2 нет решения
a2=(65+63)/32=4⇒4^(√(x+3))4⇒√(x+3)=1⇒x+3=1⇒x=-2
3125*25^x-13*5^2x=16*2^x-4*2^x
25^x*(3125-13)=2^x(16-4)
3112*25^x=12*2^x
(25/2)^x=12/3112
(25/2)^x=3/778
x=log(12,5)(3/778)
2
a+1/a-142=0
a²-142a+1=0
D=20164-4=20160
√D=24√35
a1=(142-24√35)/2=71-12√35=(6-√35)²
(√(6+√35)^x=(6-√35)²⇒x/2=-2⇒x=-4
a2=(6+√35)²
(√(6+√35)^x=(6+√35)²⇒x/2=2⇒x=4
3
4^(√(x+3)=a
16a²-65a+4=0
D=4225-256=3669
a1=(65-63)/32=1/16⇒4^(√(x+3))=4^-2 нет решения
a2=(65+63)/32=4⇒4^(√(x+3))4⇒√(x+3)=1⇒x+3=1⇒x=-2
Вас заинтересует
2 года назад
2 года назад
7 лет назад
7 лет назад
10 лет назад
10 лет назад