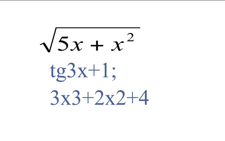
ЗАПИШИТЕ ПО ПРАВИЛАМ ЯЗЫКА ПАСКАЛЬ СЛЕДУЮЩИЕ ВЫРАЖЕНИЯ:

Приложения:

Ответы

Ответ дал: larinfo
0

sqrt( 5*x+ sqr(x) )          

tg(3*x)  +  1         

3*x*sqr(x) + 2*sqr(x) + 4       

запомни – sqr – это вторая степень. если посмотреть, r похожа как будто двойку начали писать.


sqrt – это корень. если посмотреть, то t как будто можно дорисовать и получится знак корня.


в третьем примере наверное, были третья и вторая степень. иначе нет смысла.

Вас заинтересует