• Предмет: Алгебра
  • Автор: Фарид1110
  • Вопрос задан 9 лет назад

Решите самостоятельною работу
номер 2-4
ПОЖАЛУЙСТА ПОМОГИТЕ!!!!!!!

Приложения:

Ответы

Ответ дал: kychkinaanastasiya
0
4 задание что то не получается .... 
Приложения:
Ответ дал: Фарид1110
0
спс хоть за это
Ответ дал: anastasiyayeranova
0
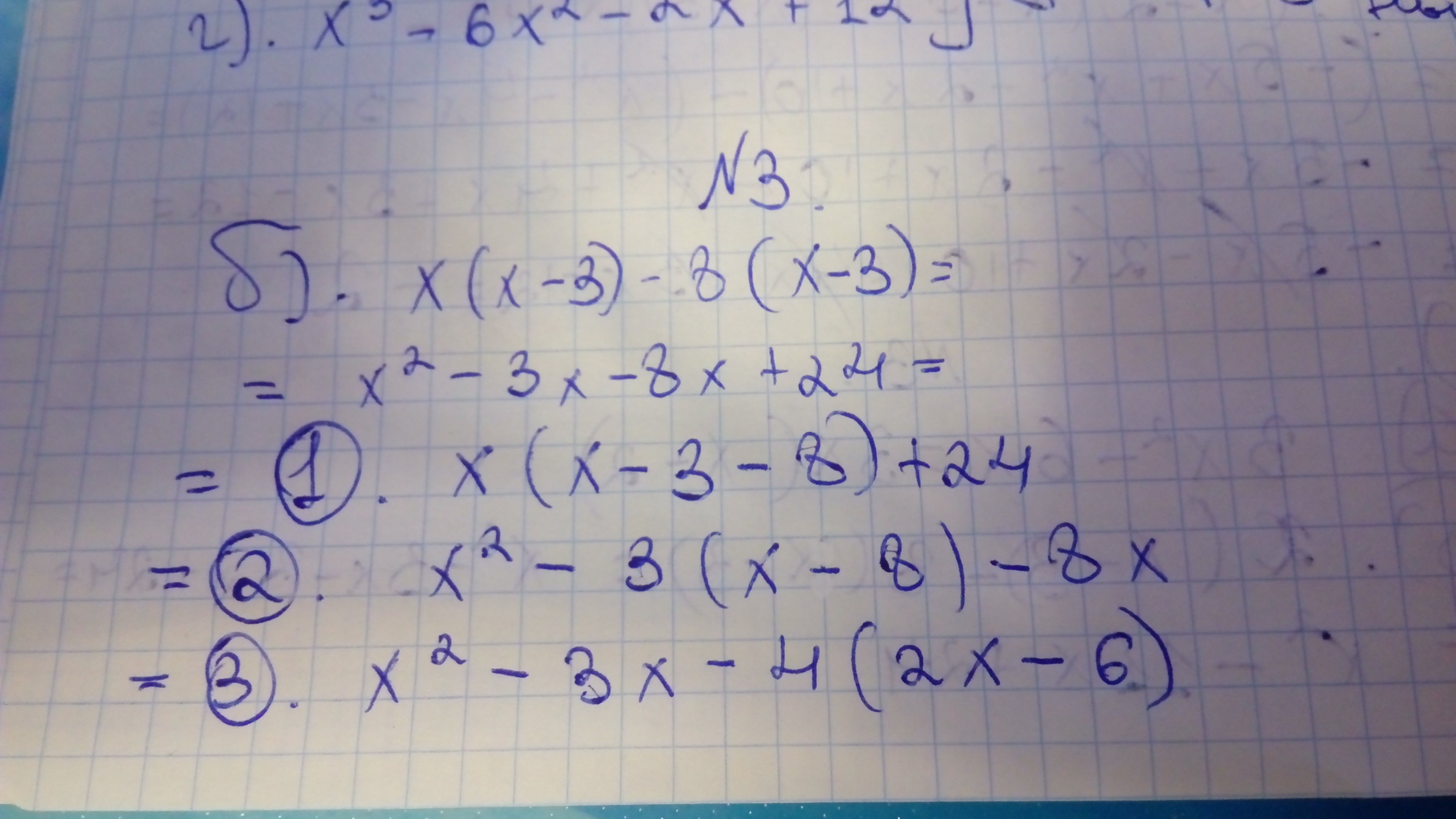
Пожалуйста. Только в 3-м номере уже общий множитель вынесен, либо же можно по-другому его вынести. В 4-м номере пункты В и Г уже разложены. Пункт Б в 3-м номере можно разложить тремя способами. Не делай пункт Б, как на третьем фото.
Приложения:
Вас заинтересует