• Предмет: Математика
  • Автор: рорвайтик
  • Вопрос задан 9 лет назад

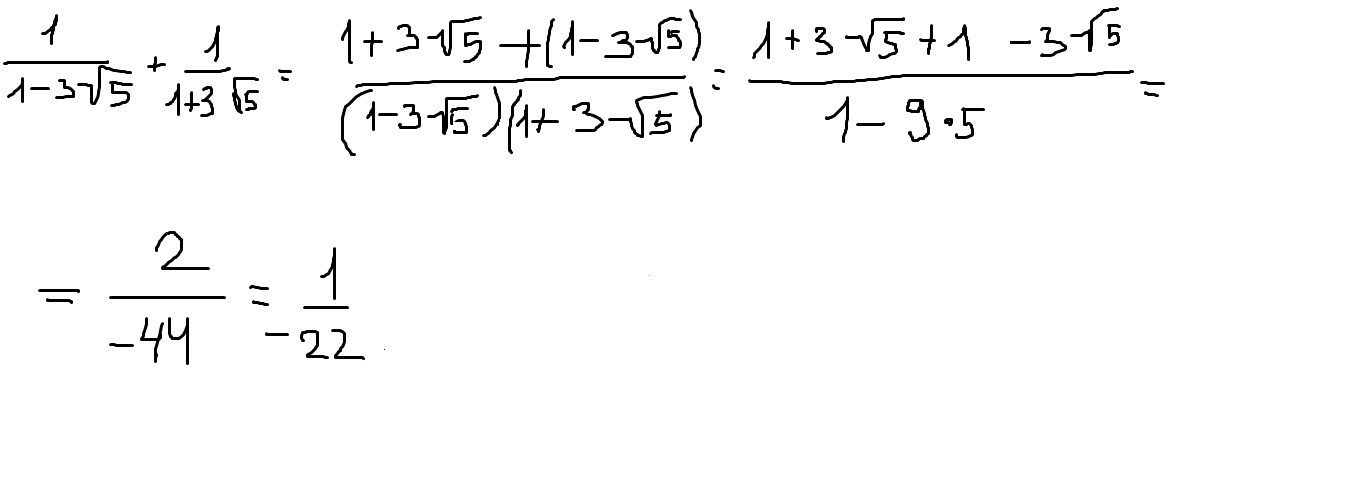
1/1-3√5+1/1+3√5 срочно ,а то математичка убьет

Ответы

Ответ дал: Лерчик02
0
1/1-3√5+1/1+3√5=(1+3√5)+(1-3√5)/(1-3√5)(1+3√5)=2/1²-(3√5)²=2/1-45=2/-44=
=-1/22
Ответ дал: Jerzyz
0
(a-b)(a+b)=a^2-b^2 - по этой формуле

Приложения:
Вас заинтересует