• Предмет: Геометрия
  • Автор: AlexandrAst
  • Вопрос задан 9 лет назад

99 БАЛЛОВ!!!
SOS!!!
Помогите пожалуйста решить три задания, геометрия - 11 класс.
Во втором задании с РИСУНКОМ ПЛЗ.
ЗАРАНЕЕ СПАСИБО.

Приложения:

Ответы

Ответ дал: ужнеужели
0
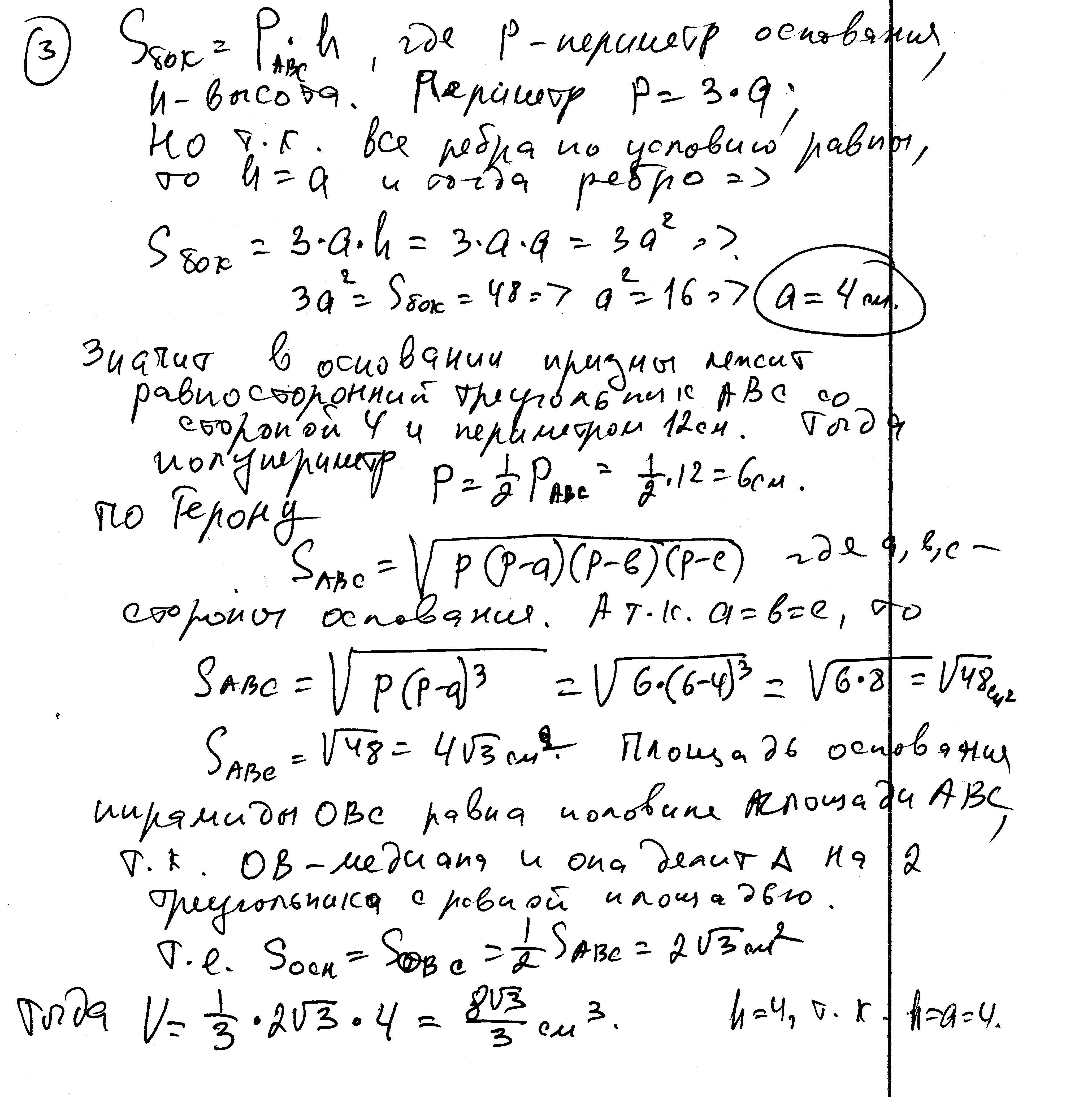
Решение в скане...................
Приложения:
Ответ дал: AlexandrAst
0
Спасибо вам большое :)
Ответ дал: ужнеужели
0
Удачи Вам. Надеюсь все понятно.
Вас заинтересует