ПОМОГИТЕ РЕШИТЬ!!! СРОЧНО!!!
ТЕМА: ПОКАЗАТЕЛЬНЫЕ УРАВНЕНИЯ И НЕРАВЕНСТВА
решение расписать
Приложения:

Ответы
Ответ дал:
0
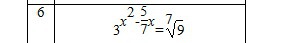
3^(x^2- (5/7)*x)=^7√9 такое задание?
3^(x^2- (5/7)*x)=(3^2)^(1/7)
x^2 -(5/7)x=2/7
7x^2-5x-2=0
D=25-4*7*(-2)=25+56=81=9^2;
x1=(5-9)/14=-2/7; x2=(5+9)/14=1
Ответ. -2/7; 1
3^(x^2- (5/7)*x)=(3^2)^(1/7)
x^2 -(5/7)x=2/7
7x^2-5x-2=0
D=25-4*7*(-2)=25+56=81=9^2;
x1=(5-9)/14=-2/7; x2=(5+9)/14=1
Ответ. -2/7; 1
Вас заинтересует
2 года назад
7 лет назад
7 лет назад
9 лет назад
9 лет назад