Ответы
Ответ дал:
0
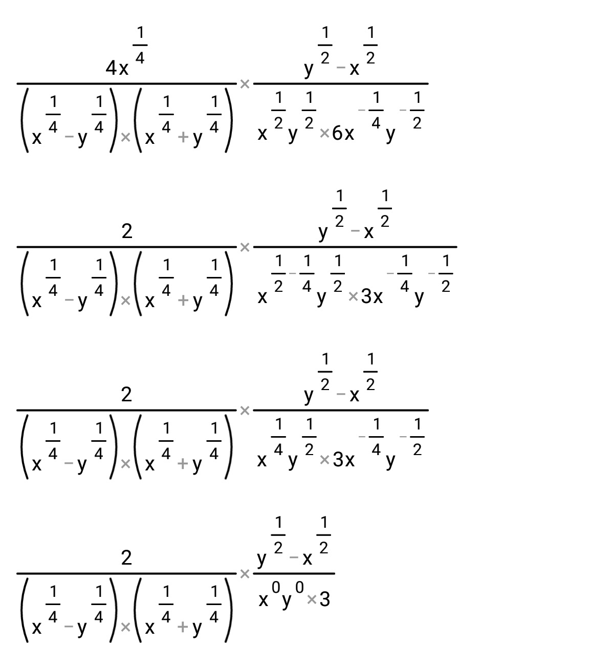
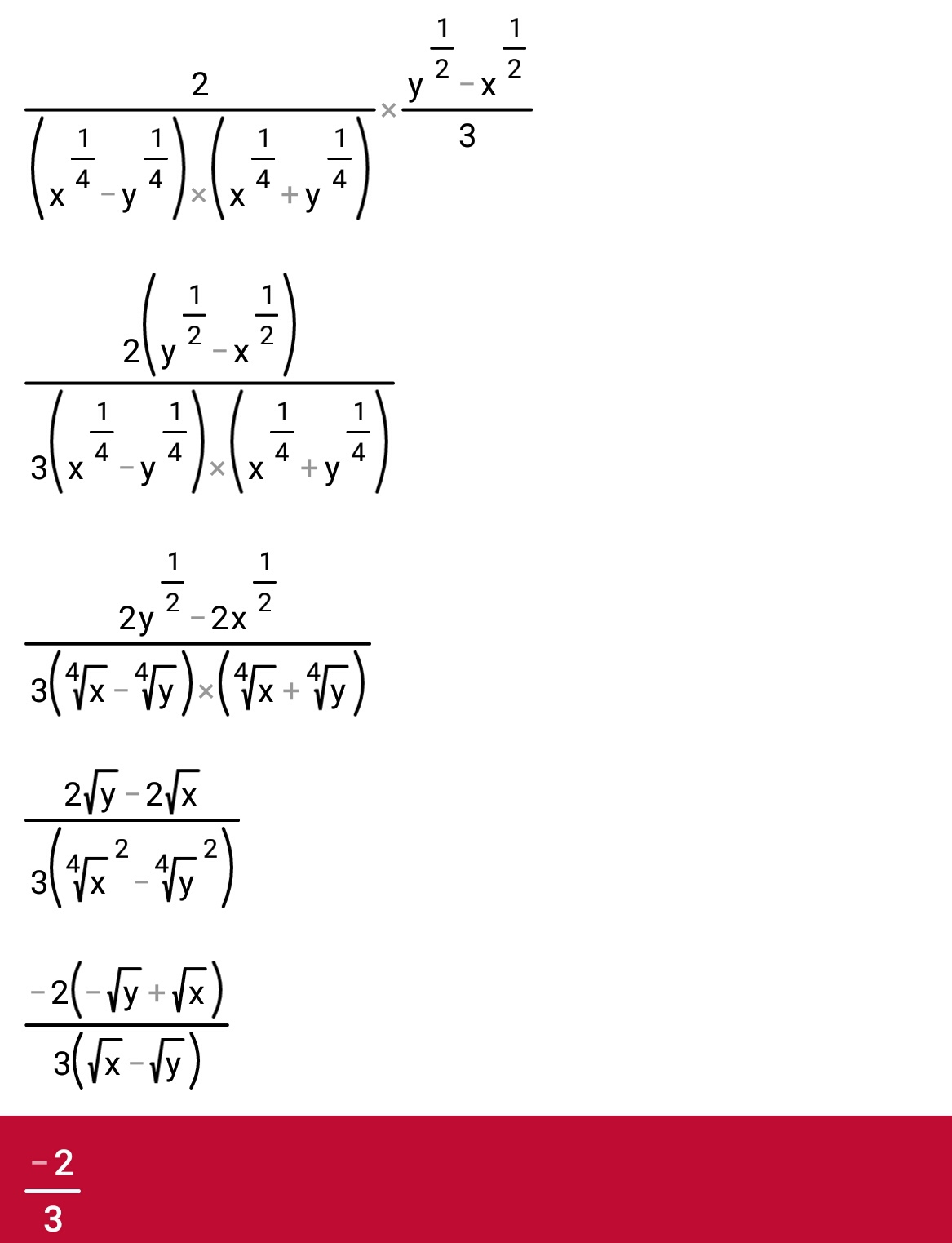
Решение смотри на фото
Приложения:



Вас заинтересует
2 года назад
2 года назад
7 лет назад
7 лет назад
9 лет назад
9 лет назад
10 лет назад