Ответы
Ответ дал:
0
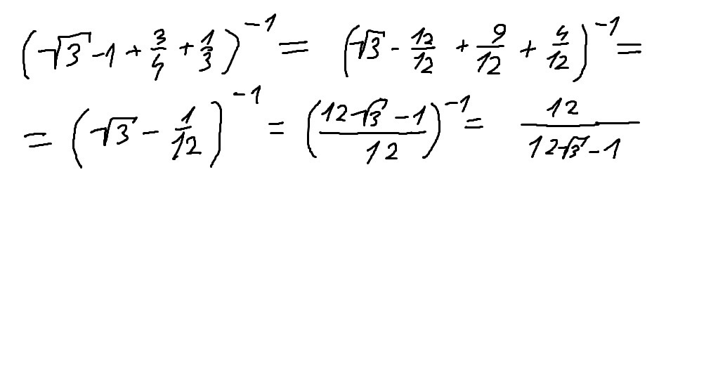
Возможно так, но если нет, то скажи, перерешаю)
Приложения:

Ответ дал:
0
у меня тоже самое☺ сомневалась в ответе, но теперь уж нет) спасибо))
Ответ дал:
0
Пожалуйста
Вас заинтересует
2 года назад
2 года назад
7 лет назад
9 лет назад
9 лет назад
10 лет назад
10 лет назад