• Предмет: Математика
  • Автор: lokolomotorollo
  • Вопрос задан 9 лет назад

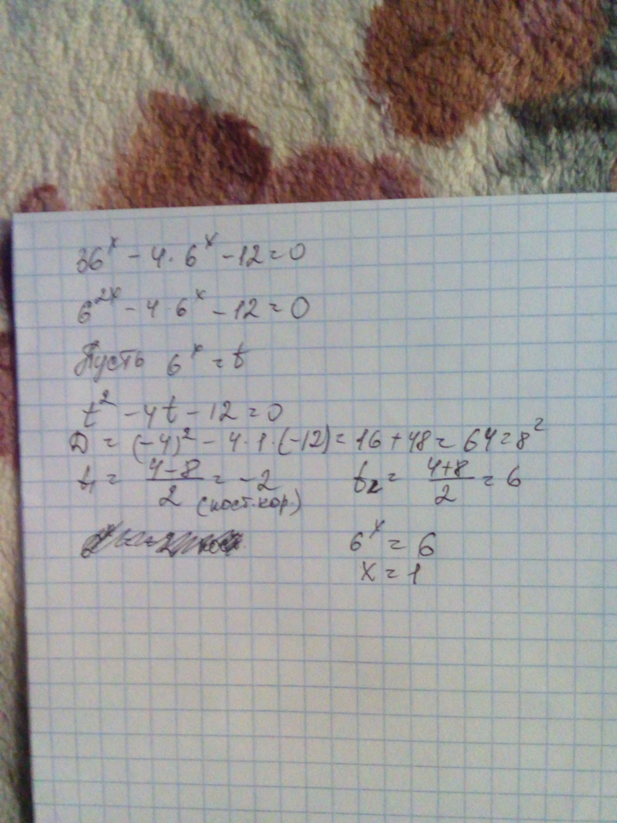
решите уравнение
36x-4*6x--12=0
Решение показательных уравнений с заменой переменной!!!!


36(cтепень)x - 4*6(cтепень)x-12=0
6(cтепень)2x-4*6-12=0
Замена:
6(cтепень)2x=(6(cтепень)x))(cтепень)2=6(cтепень)2>0
D=(-4)(cтепень)2-4*1*(-12)=16+48=64
D=(корень)64=8
y1=4+8/2=6
y2=4-8/2=-2
Дальше не знаю!!!!

Ответы

Ответ дал: ekaterinaziza
0
,,,,,,,,,,,,,,,,,,,,,,,,,
Приложения:
Вас заинтересует