• Предмет: Алгебра
  • Автор: safonova29
  • Вопрос задан 9 лет назад

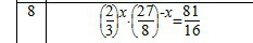
помогите решить уравнение

Приложения:

Ответы

Ответ дал: MizoriesKun
0
(2/3)ˣ * (3/2)⁻³ˣ =(3/2)⁴

(2/3)ˣ * (2/3)³ˣ=(2/3)⁻⁴

(2/3)ˣ⁺³ˣ = (2/3)⁻⁴

4х=-4

х=-1
Вас заинтересует