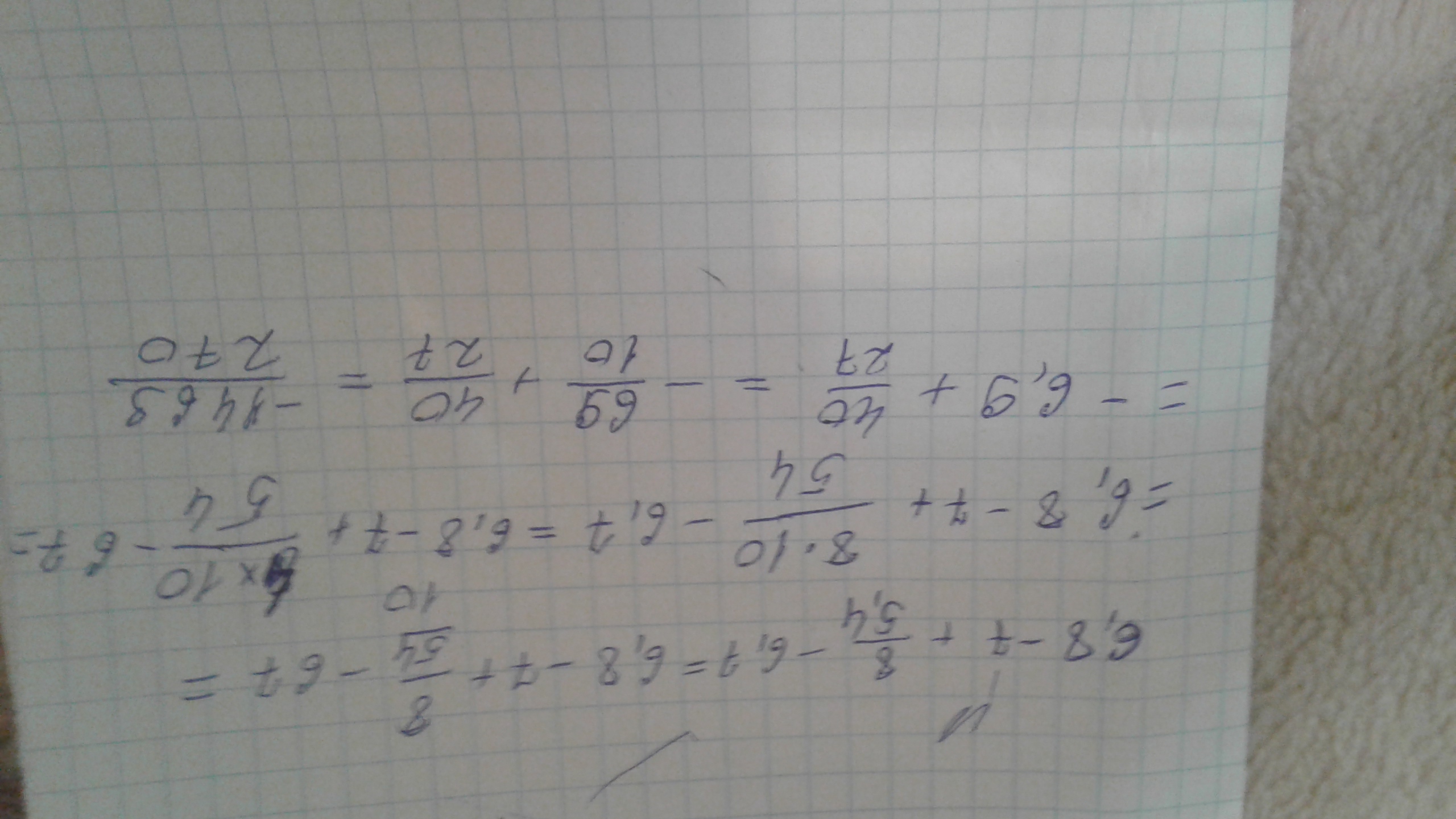
Вычислите:2)6,8-7+8/5,4-6,7 4)0,6*(-9)-3.6/-1.5*4 ВО 2)ЗНАМИНАТЕЛЬ 5,4-6,7 ВО 4)ЗНАМИНАТЕЛЬ -1,5*4
Ответы
Ответ дал:
0
надеюсь этот ответ подойдет все решал мой калькулятор. кстати скачай называется photomath скачай решает все примеры. и захрди на мой канал ютуб называется каримова алия там фото я в белой шапке и в куртке за мной 3 мальчика
Приложения:

Вас заинтересует
2 года назад
7 лет назад
7 лет назад
9 лет назад
10 лет назад