Ответы
Ответ дал:
0
1) при n=1: а₁ = (3¹)/√(2¹(3*1-1) = 3/√4 =3/2
при n = 2: a₂ = (3²)/√2²(3*2-1) = 9/√20 = 9/(2√5)
при n = 3 a₃= (3³) /√(2³(3*3-1) = 27/√64 =27/8
при n = 4 a₄ = (3⁴)/√2⁴(3*4-1) = 81/√176 = 81/4√11
3/2, 9/2√5, 27/8, 81/4√11
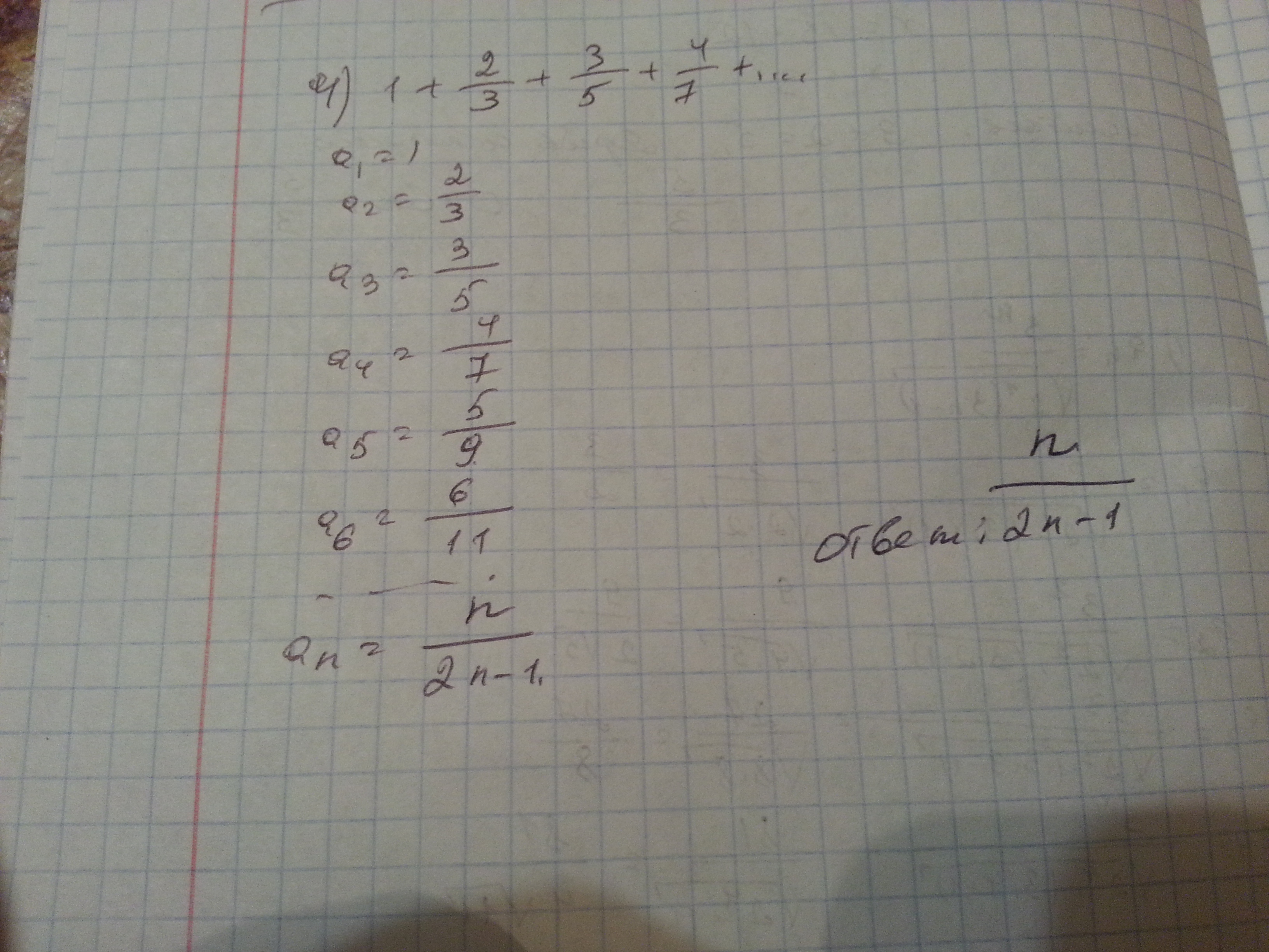
2) An = n/(2n-1) - формула общего члена
при n = 2: a₂ = (3²)/√2²(3*2-1) = 9/√20 = 9/(2√5)
при n = 3 a₃= (3³) /√(2³(3*3-1) = 27/√64 =27/8
при n = 4 a₄ = (3⁴)/√2⁴(3*4-1) = 81/√176 = 81/4√11
3/2, 9/2√5, 27/8, 81/4√11
2) An = n/(2n-1) - формула общего члена
Ответ дал:
0
Ответ ответ ответ ответ ответ
Приложения:


Ответ дал:
0
Спс
Ответ дал:
0
хотя бы 10 баллов получи))))
Вас заинтересует
7 лет назад
9 лет назад
9 лет назад