• Предмет: Алгебра
  • Автор: Кариночка78
  • Вопрос задан 9 лет назад

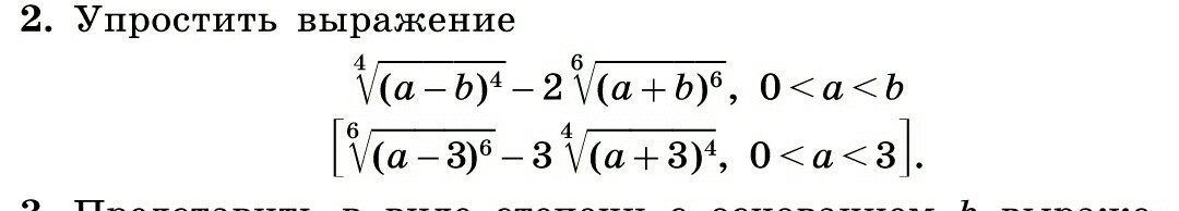
Помогите с алгеброй. Очень срочно.

Приложения:

Ответы

Ответ дал: hairovarenata
0
1) -a- 3b
2)-2a -12
вроде правильно
Ответ дал: Кариночка78
0
вроде или правильно?!
Вас заинтересует