• Предмет: Математика
  • Автор: КотейкаУбийца
  • Вопрос задан 9 лет назад

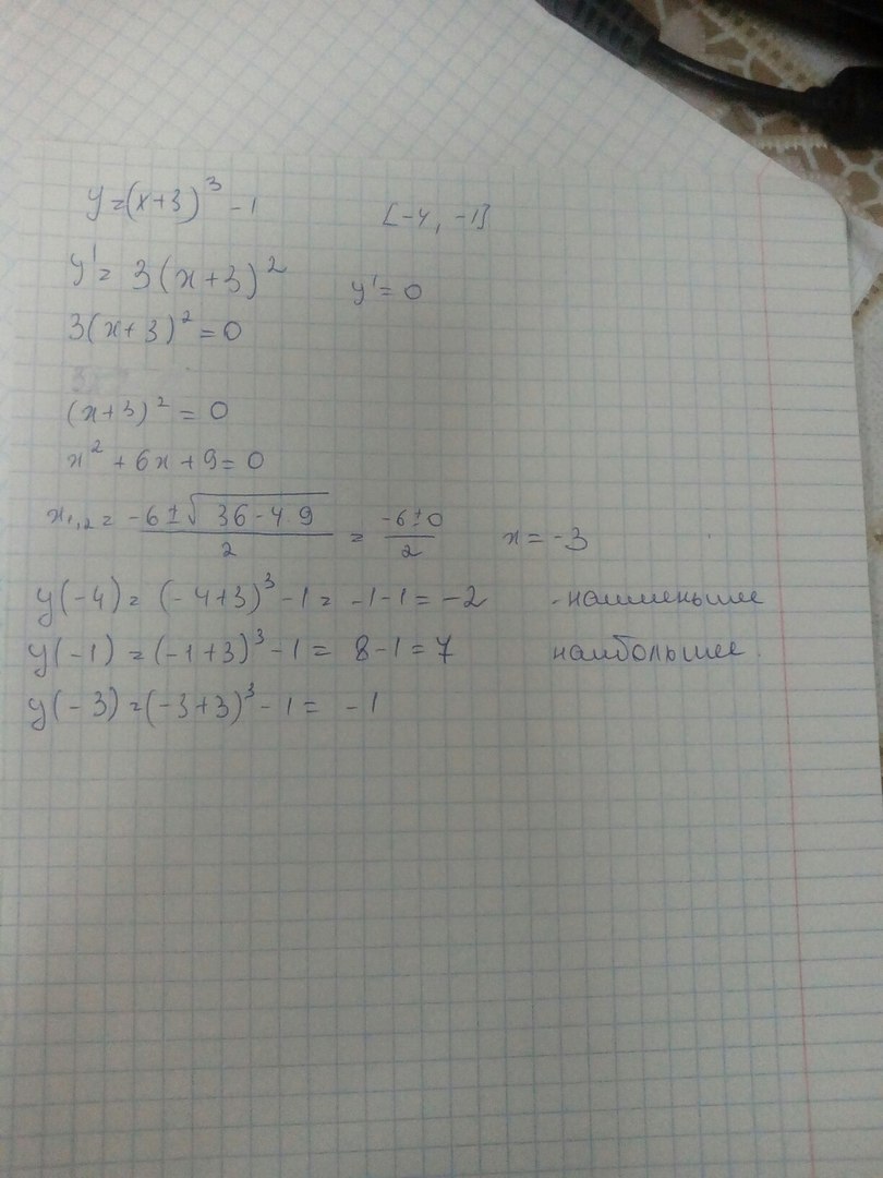
найдите наибольшее и наименьшее значения функции y=(x+3)^3-1 на отрезке [-4,-1]

Ответы

Ответ дал: annet2012
0
решение на фотографии
Приложения:
Вас заинтересует