Ответы
Ответ дал:
0
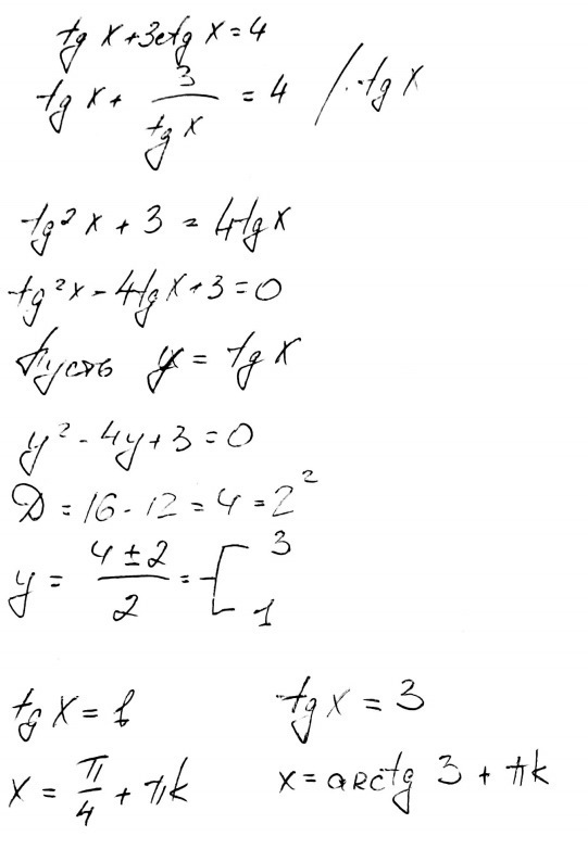
решение во вложении ниже
Приложения:

Ответ дал:
0
Спасибо , дружище )
Вас заинтересует
2 года назад
7 лет назад
7 лет назад
9 лет назад
9 лет назад
10 лет назад
10 лет назад