Ответы
Ответ дал:
0
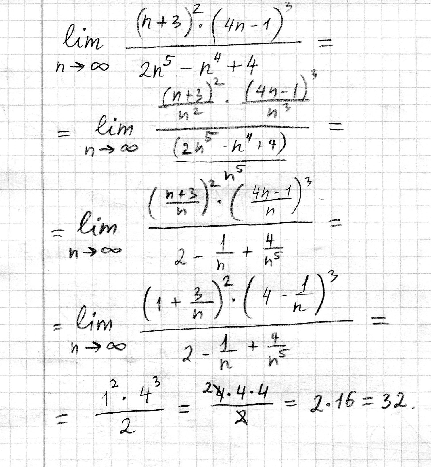
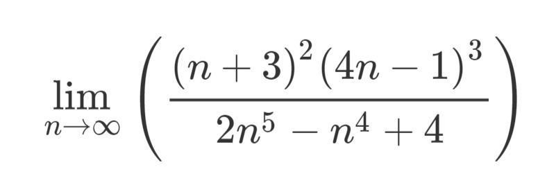
===========================>> прикрепил файл изображения ниже+
Приложения:

Ответ дал:
0
спасибо огромное)))
Вас заинтересует
2 года назад
7 лет назад
9 лет назад