Плотность смеси гелия и азота при нормальных условиях ρ = 0,60 г/л. Найти концентрацию атомов гелия в данной смеси.
Ответы
Ответ дал:
0
Ответ дал:
0
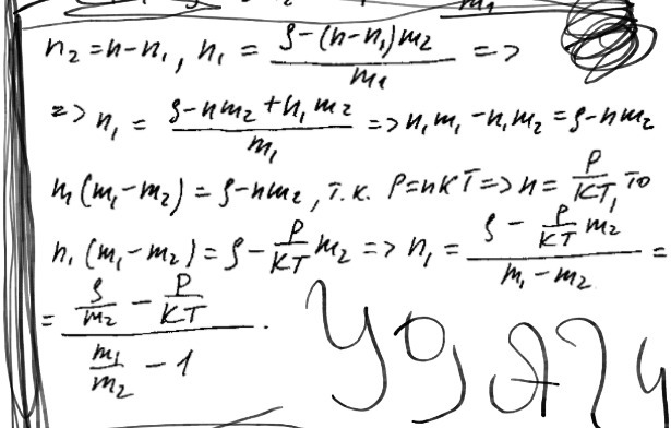
Общая масса смеси m=√,m1+N2m2=n,vm,+n2Vm2.Где n и n2
No m=S,v,значит:
Sv=n,Vm+n2,Vm2=>S=n1n2+n2m2.
ПРОДОЛЖЕНИЕ В ФАЙЛЕ!
УДАЧИ!!!!
No m=S,v,значит:
Sv=n,Vm+n2,Vm2=>S=n1n2+n2m2.
ПРОДОЛЖЕНИЕ В ФАЙЛЕ!
УДАЧИ!!!!
Приложения:

Вас заинтересует
2 года назад
2 года назад
7 лет назад
9 лет назад
9 лет назад
10 лет назад