• Предмет: Алгебра
  • Автор: ZhenyaN123
  • Вопрос задан 9 лет назад

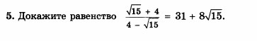
Помогите пожалуйста! Нужно доказать равенство, если можно то на листочке...

Приложения:

Ответы

Ответ дал: igir12370
0
(4+√15)*(4+√15)/(4-√15)*(4+√15)= (4+√15)^2/(4^2-√15^2) (16+8√15+15)/(16-15)=31+8√15; числитель и знаменатель дроби (той что слева) умножили на (4+√15); в числителе у нас получился квадрат суммы двух чисел, а в знаменателе разность квадратов двух чисел;
Ответ дал: ZhenyaN123
0
Спасибо большое!!!
Вас заинтересует