Ответы
Ответ дал:
0
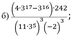
Задание б)
Преобразования до подстановки - практически в уме.
242 = 2*11², про 4 = 2² и говорить нечего.
Степень в степени произведение степеней.
(3⁵)³ = 3¹⁵
Отрицательное число в нечетной степени - отрицательное.
(-2)³ = - 2³
И, наконец подстановка

Получился ОТВЕТ - 6/11.
Преобразования до подстановки - практически в уме.
242 = 2*11², про 4 = 2² и говорить нечего.
Степень в степени произведение степеней.
(3⁵)³ = 3¹⁵
Отрицательное число в нечетной степени - отрицательное.
(-2)³ = - 2³
И, наконец подстановка
Получился ОТВЕТ - 6/11.
Вас заинтересует
7 лет назад
7 лет назад
10 лет назад
10 лет назад
10 лет назад