Ответы
Ответ дал:
0
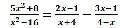
( 5x² + 8 )/ ( x² - 16 ) = ( 2x - 1 )/( x + 4 ) - ( 3x - 1 )/( 4 - x )
общий знаменатель ( х² - 16 ) ; х ≠ 4 ; ( - 4 )
5х² + 8 = ( 2x - 1 )( x - 4 ) + ( 3x - 1 )( x + 4 )
5x² + 8 = 2x² - 8x - x + 4 + 3x² + 12x - x - 4
5x² + 8 = 5x² - 9x + 4 + 11x - 4
5x² + 8 = 5x² + 2x
2x = 8
x = 4 ( не подходит под ОДЗ )
Ответ нет решений
общий знаменатель ( х² - 16 ) ; х ≠ 4 ; ( - 4 )
5х² + 8 = ( 2x - 1 )( x - 4 ) + ( 3x - 1 )( x + 4 )
5x² + 8 = 2x² - 8x - x + 4 + 3x² + 12x - x - 4
5x² + 8 = 5x² - 9x + 4 + 11x - 4
5x² + 8 = 5x² + 2x
2x = 8
x = 4 ( не подходит под ОДЗ )
Ответ нет решений
Ответ дал:
0
изменила решение ( посмотри конец )
Вас заинтересует
2 года назад
2 года назад
7 лет назад
7 лет назад
10 лет назад
10 лет назад