• Предмет: Алгебра
  • Автор: 12efefefef
  • Вопрос задан 9 лет назад

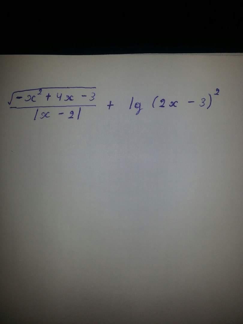
Нужно срочно решить данный пример. Прошу полностью расписать решение. Заранее спасибо !

Приложения:

Ответы

Ответ дал: mb17x
0
 left { {{- x^{2} +4x-3 geq 0} atop {x-2 neq 0}} atop { (2x-3)^{2}  textgreater  0}} right.     left { {{-(x-1)(x-3) geq 0} atop {x neq 2}} atop { 2x-3  neq 0}} right.   left { {{1 leq x leq 3} atop {x neq 2}} atop { 2x neq 3}} right.  left { {{1 leq x leq 3} atop {x neq 2}} atop { x neq 1,5}} right.

x∈[1; 1,5)∪(1,5;2)∪(2;3]
Ответ дал: 12efefefef
0
А сможете решить еще одно на подобии этого ?
Ответ дал: mb17x
0
Какое?
Ответ дал: 12efefefef
0
я сейчас еще раз создам темку с примером, и буду очень рад, если и с ним вы мне поможете
Ответ дал: sedinalana
0
{x-2≠0⇒x≠2
{2x-3≠0⇒2x≠3⇒x≠1,5
{-x²+4x-3≥0⇒x²-4x+3≤0⇒1≤x≤3
x1+x2=4 U x1*x2=3⇒x1=1 U x2=3
             +            _            +
----------------[1]---------[3]------------
x∈[1;1,5) U (1,5;2) U (2;3]
Ответ дал: 12efefefef
0
Вы сможете мне помочь еще с одним примером? пожалуйста, я буду очень благодарен
Вас заинтересует