1)найдите площадь трапеции,у которой паралельные стороны 60см, 20см,а не паралельные 13см,37см(ответ480см^2) 2)в равнобокой трапеции основания равны 10см,24см,боковая сторона 25см.Найдите площадь трапеции (ответ 408см^2
Ответы
Ответ дал:
0
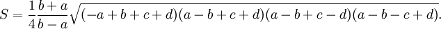
Коли відомі довжини всіх чотирьох сторін трапеції може бути використана інша формула визначення площі. Якщо позначити основи трапеції a та b (b > a), а бічні сторони c та d, то формула, та що довга
А звичайна формула - а+б/2 помножене на висоту
Приложения:

Вас заинтересует
2 года назад
8 лет назад
8 лет назад
10 лет назад
10 лет назад