Ответы
Ответ дал:
0
20/3 или 6 целых 2/3
Ответ дал:
0
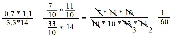
Ответ: 1/60.
См. решение в прикреплённом изображении.
См. решение в прикреплённом изображении.
Приложения:

Вас заинтересует
2 года назад
2 года назад
7 лет назад
7 лет назад
9 лет назад
9 лет назад