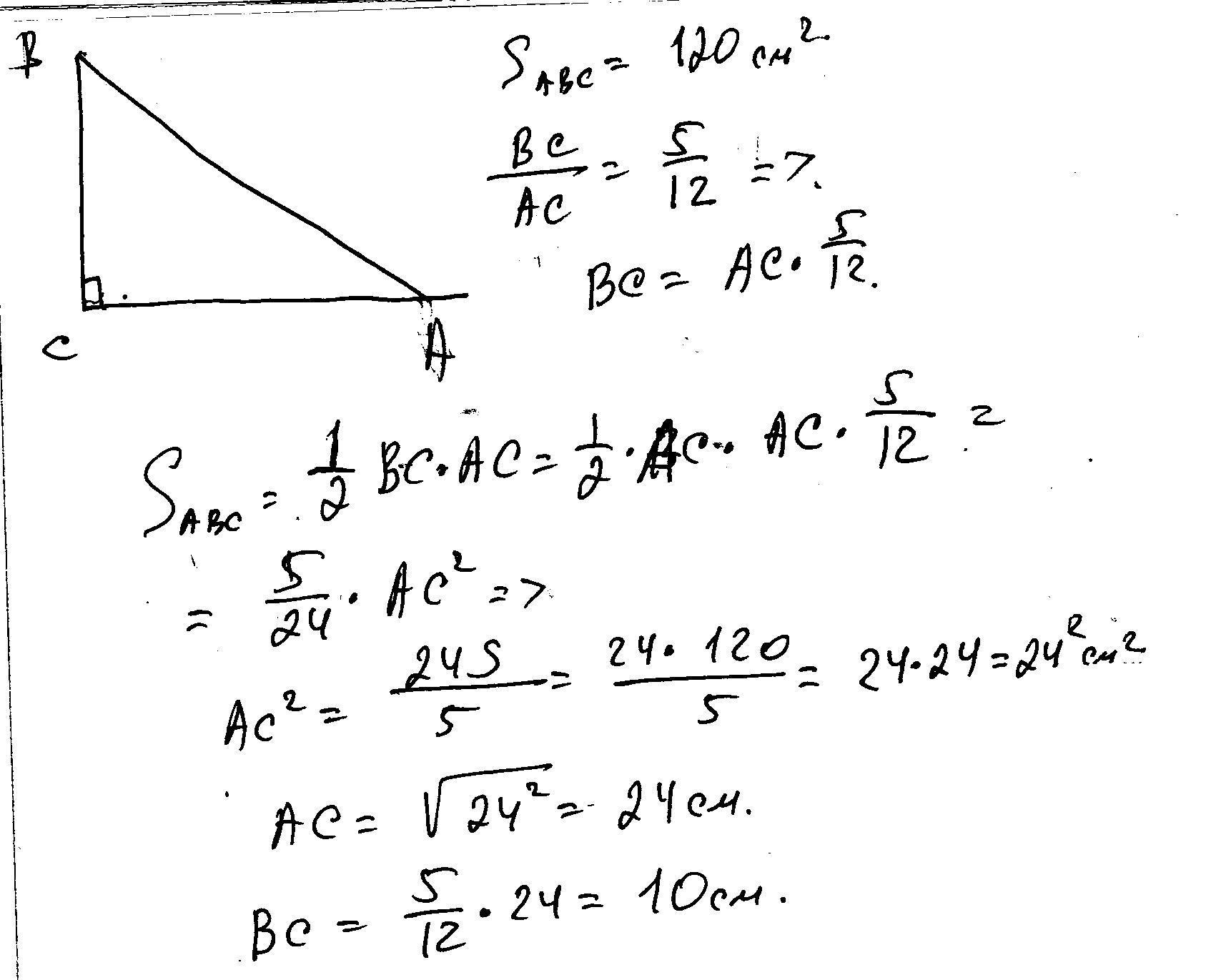
Площадь прямоугольного треугольника равна 120 см(в квадрате). Длины его катетов относятся как 5: 12
Найдите длины этих катетов
Ответы
Ответ дал:
0
решение в скане................
Приложения:
Вас заинтересует
2 года назад
2 года назад
7 лет назад
10 лет назад
10 лет назад
10 лет назад
10 лет назад