Ответы
Ответ дал:
0
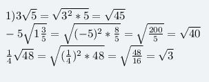
буду по одному добавлять





Приложения:





Ответ дал:
0
у меня вопрос
Ответ дал:
0
вы отправили ответ, с картинкой все понятно, а вот текст я не поняла
Ответ дал:
0
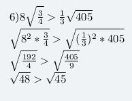
на картинке то же самое, только с компьютера видно
Ответ дал:
0
а, понятно
Ответ дал:
0
я не могу прочитать текст
Вас заинтересует
2 года назад
2 года назад
7 лет назад
7 лет назад
10 лет назад